Eingabehilfen öffnen

Zum Hauptinhalt springen

4.11 Tools: Einfluss des K2-Faktors

Die aktive Matrix ist immer von einer Umhüllung umgeben, in der eine weitere Schwächung der emittierten Strahlung stattfindet. Die hierdurch erfolgende Reduzierung der Detektorzählrate wird durch den Korrekturfaktor K2 berücksichtigt. Seine Größe hängt von der Anzahl an Umhüllungen (z. B. Behälterwand, zusätzliche Abschirmschichten im inneren des Behälters etc.) sowie deren Materialien ab. K2 kann aufgrund der hier unterstellten Zylindersymmetrie als Produkt der Schwächungsbeiträge der einzelnen Schichten beschrieben werden.

\[ K_2 = \prod_{l=1}^L K_{2,l} = \prod_{l=1}^L \exp{\mu_i \cdot d_l} \]

Für 200 L Abfallfässer ohne weitere Abschirmung (d. h. L=1) wird oftmals der Näherungswert von d ≈ 1,25 · dw (dw Dicke der Behälterwand) für die Dicke d angesetzt.

Beide Ansätze berücksichtigen nicht, dass die einzelnen Bereiche der aktiven Schicht mit unterschiedlichen Längen zur Detektorzählrate beitragen. Die Berücksichtigung dieses Effekts kann durch eine entsprechende Wichtung der einzelnen Raumrichtungen bei der Berechnung von K2 berücksichtigt werden.

\[ K_2 = \frac{1}{N \cdot M} \sum_{i=1}^N \sum_{j=1}^M \left[ \prod_{l=1}^L \exp{ \left( \mu_i \cdot d_l(\varphi_i, \vartheta_j)\right)} \right] \cdot w_{K_2}^{i,j} \]

Bedienung und Anzeigen

Das Berechnungstool für K2Berechnungstool für K2Berechnungstool für K2Berechnungstool für K2, das aktuell die Berücksichtigung von bis zu drei Schichten für die Umhüllung der aktiven Matrix erlaubt, besteht aus drei Bereichen. Im linken Bereich können die Werte für die Dicken der Schichten und ihre linearen Schwächungskoeffizienten eingestellt werden (es wird angenommen, dass die Schichten der Umhüllungen in jeder Richtung die gleiche Dicke haben). Des Weiteren sind Angaben zum Abstand S des Detektors von der Oberfläche der äußersten Umhüllung und dessen Radius R sowie die Angaben zur aktiven Matrix (linearer Schwächungskoeffizient und Füllhöhe) möglich. Der Radius der aktiven Matrix bestimmt sich aus den Eingaben des Radius der äußeren Umhüllung und der Schichtdicken. Im rechten Bereich werden die getätigten Eingaben grafisch dargestellt. Die Ergebnisse der numerischen Berechnung werden im unteren Bereich ausgegeben: die Werte K2 und K2* ohne und mit Berücksichtigung der unterschiedlichen Zählratenbeiträge im Detektor sowie die Näherungslösung K2näh.

Anwendungsbeispiele

 Vergleich der Ergebnisse

Vergleich der Ergebnisse für K2näh, K2 und K2* in Abhängigkeit der verschiedenen Parameter sowie die Auswirkung von Unsicherheiten

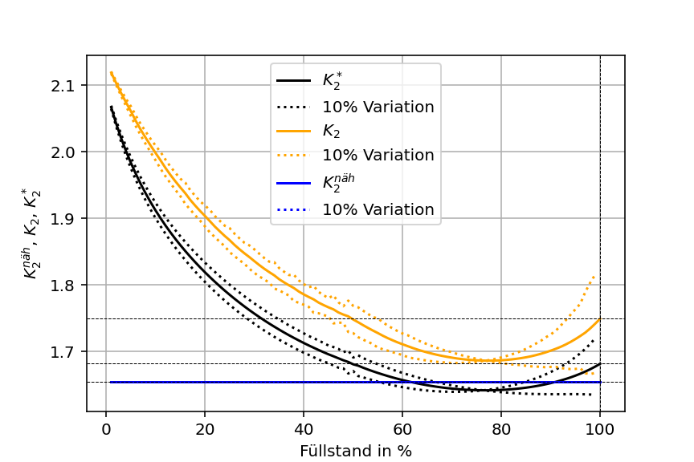
Die nachfolgenden Diagramme zeigen für den Fall einer Schicht die Ergebnisse von Variationsrechnungen mit dem Berechnungstool. Ausgehend von den Parametern S = 72 cm, h = 80 cm, R = raussen = 28 cm, µaktiv = 0,0578 cm-1 und den Werten für die Abschirmung d1 = 1 cm und µ1 = 0,42 cm-1 wird jeweils ein Parameter in seinen Werten variiert (alle anderen Parameter werden festgehalten). Die Ergebnisse und ihre Abweichungen voneinander sind für die drei jeweils berechneten Größen K2näh, K2 und K2* grafisch dargestellt. Ein ergänzendes Diagramm zeigt jeweils die entsprechenden Auswirkungen bei einer unterstellten Unsicherheit von ±10%.

Variation des Detektorabstands S von Behälterwand

4 7 3 Abb 002

4 7 3 Abb 003

Variation des Radius r der aktiven Matrix

4 7 3 Abb 004

4 7 3 Abb 005

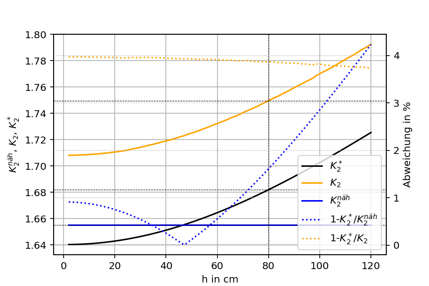
Variation der Behälterhöhe h

4 7 3 Abb 006

4 7 3 Abb 007

Variation der Wanddicke d1

4 7 3 Abb 008

4 7 3 Abb 009

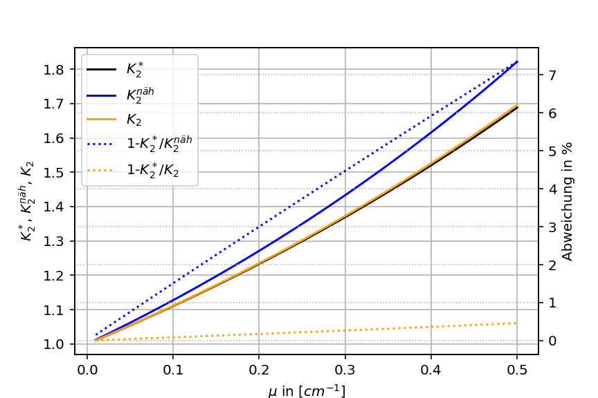
Variation des linearen Schwächungskoeffizienten der Abschirmschicht µ1

4 7 3 Abb 010

4 7 3 Abb 011

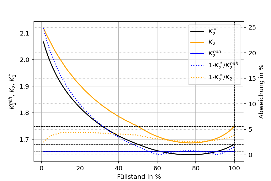
Variation des Füllstands F

4 7 3 Abb 012

4 7 3 Abb 013

Variation der Auflösung

4 7 3 Abb 014

4 7 3 Abb 014

Unsicherheiten - Zusammenfassung

Die Ergebnisse obiger Diagramme sind in nachfolgender Tabelle für die Ausgangsparameter und ihre Variationen zusammengefasst. Es zeigt sich, dass eine Wichtung für die verschiedenen Strahlrichtungen in der aktiven Matrix zu keiner nennenswerten Reduzierung in der Unsicherheit des Korrekturfaktors für eine (relativ dünnen) Schicht führt.

4 7 3 Tab 001

EducTUM

Kontakt

Dr. Thomas Bücherl
Technische Universität München
Radiochemie München RCM
Walther-Meißner-Str. 3
85748 Garching
Deutschland

Diese E-Mail-Adresse ist vor Spambots geschützt! Zur Anzeige muss JavaScript eingeschaltet sein.

Förderkennzeichen 15S9443